北理工陈小伟教授课题组在国际知名期刊发表系列文章
发布日期:2018-02-28 供稿:前沿交叉科学研究院
编辑:李卡 审核:王博 阅读次数:德赢AC米兰官网前沿交叉科学研究院的陈小伟教授课题组长期从事复杂结构力学、结构冲击动力学、穿甲动力学和常规武器战斗部设计的研究工作。自2017年1月入校以来,先后在International Journal of Impact Engineering、Construction and Building Materials、Acta Mechanica Sinica等国际知名期刊发表系列研究成果。
素/钢筋混凝土的动态力学行为研究




通过试验分析和细观模拟系统开展了素/钢筋混凝土的动态力学行为研究。进行了混凝土试件的大尺寸( ϕ 120mm×100mm)SHPB实验,揭示并解释了混凝土类脆性材料反射波“双峰”现象和反射波尾出现“压缩波段”的现象,观察到不同应变率下混凝土试件的四种典型的破坏形态,“轻微龟裂”、“破裂”、“破碎”和“粉碎”。同时分析了混凝土试件的塑性承载能力,给出了关于混凝类脆性材料SHPB实验不同应变率下波形特征与试件最终破坏状态对应关系的相关认识。
考虑骨料、砂浆及二者之间的ITZ创建了混凝土的三维三相细观随机骨料模型。详细介绍了随机多面体骨料的生成和投放方法、ITZ的生成方法以及如何通过网格投影法生成混凝土细观有限元模型的过程。在实验和反复数值模拟的基础上,确定了适当的混凝土内各成分的HJC材料模型参数。
在此基础上,进行了不同应变率下Ф120×100mm混凝土试件SHPB原型实验数值模拟,重现了实验中混凝土试件的四种典型的破坏形态的形成过程,观察到实验中出现的反射波“压缩波”现象和“双峰”现象,并预测了更高应变率下混凝土试件的破坏形态、波形特征和应力平衡失效。引入损伤失效体积的概念,分析了混凝土试件SHPB实验中的应力平衡失效与波形特征之间的关系以及应力平衡失效后的材料行为,探讨了骨料和砂浆之间的粘结层(ITZ)对波形特征的影响以及波形特征如何表征混凝土材料性能。
相关论文:
Lv TH, Chen XW*, Chen G. Analysis on the waveform features of the split Hopkinson pressure bar tests of plain concrete specimen. Int J Impact Engng, 2017;103:107-123.
Lv TH, Chen XW*, Chen G. The 3D meso-scale model and numerical tests of SHPB of concrete specimen. Construction and Building Materials, 2018;160:744-764.
超高速侵彻中弹靶材料可压缩性的影响研究



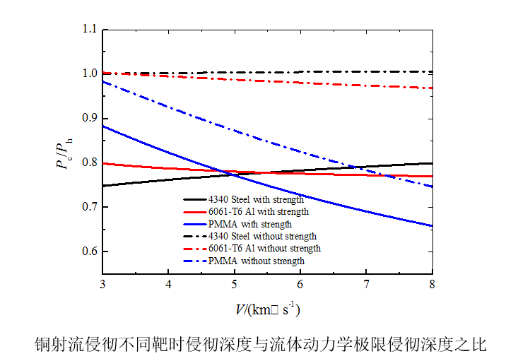
为了系统研究可压缩性在超高速长杆流体侵彻的各种弹靶组合中的作用,我们计算了强可压缩弹侵彻弱可压缩靶、弹与靶可压缩性相当和弱可压缩弹侵彻强可压缩靶三种工况,分析了体积应变、内能和强度对侵彻效率的影响。发现可压缩性会增大弹/靶界面处的压力;可压缩性强的弹/靶材料,其体积应变更大,且强度也会增大,将分别增强其侵彻或抗侵彻能力;而另一方面可压缩性强的弹/靶材料内能更大,会减弱其侵彻或抗侵彻能力;但体积应变的影响最重要,最终侵彻效率往体积应变决定的方向发展。当弹靶材料的可压缩性相当时,可压缩性对侵彻效率影响很小。
针对超高速侵彻问题提出考虑可压缩性的简化理论模型。通过理论分析,表明在近似模型中可忽略冲击波的影响。采用Murnaghan状态方程近似模拟材料在侵彻过程中的变形。最终近似模型得到一个仅关于侵彻速度的方程,可利用Newton迭代法得到其数值解,并根据一阶Taylor展开得到近似解,可以将简单的Taylor解应用于工程问题中。进一步阐明了冲击波在超高速侵彻问题中的影响是:减弱材料的可压缩性,降低材料的驻点压力,减弱材料侵彻(或抗侵彻 )能力。
进一步利用近似可压缩侵彻模型研究可压缩性和强度对钨合金长杆弹和铜射流侵彻半无限靶的影响。揭示了可压缩性通过提高弹和靶驻点压力来影响侵彻效率的机理。一般而言,在撞击速度较低时,强度效应对侵彻深度影响较大,而可压缩性影响可忽略;在撞击速度较高时,强度效应影响很小,而可压缩性有一定影响。进一步借助虚拟原点方法,通过侵彻速度和撞击速度的线性关系引入可压缩性和强度,研究强度和可压缩性对射流侵彻的影响,结果表明靶的强度效应对侵彻深度影响严重。
相关论文:
Song WJ, Chen XW*, Chen P. Effect of compressibility of the rod and target on the hypervelocity penetration. Acta Mechanica Sinica, https://doi.org/10.1007/s10409-017 -0688-1.
Song WJ, Chen XW*, Chen P. The effects of compressibility and strength on penetration of long rod and jet. Defence Technology, https://doi.org/10.1016/j.dt.2017.11.010.
长杆侵彻与界面击溃研究
相关论文:
Jiao WJ, Chen XW*. Approximate solutions of the Alekseevskii-Tate model of long-rod penetration. Acta Mechanica Sinica, 2017.03, https://doi.org/10.1007/s10409-017-0672-9.
Li JC*, Chen XW. Theoretical analysis of projectile-target interface defeat and transition to penetration by long rods due to oblique impacts of ceramic targets. Int J Impact Engng, 2017;106:53-63.
金属玻璃复合材料研究
相关论文:
Chen G, Hao YF*, Chen XW, Hao H. Compressive behaviours of tungsten fibre reinforced Zr-based metallic glass at different strain rates and temperatures. Int J Impact Engng, 2017;106:110–119
Li JC, Chen XW*, Huang FL*. FEM analysis on the deformation and failure of particle reinforced metallic glass matrix composite. Journal of Alloys and Compounds, 2018;737:271-294.
钢筋混凝土靶体侵彻破坏响应及其原位测试技术研究
相关论文:
Xu WF, Chen XW*, He LL, Zhang R, Li HM, Huang HY. The in-situ measurement of the penetration responses in steel reinforced concrete target by grid measurement method. Int J Protective Structures, 2017;8(2): 287–303.
分享到:
